Cevilia (she/they/…)@lemmy.blahaj.zone to 196@lemmy.blahaj.zoneEnglish · edit-22 months agoFormula that produces floppy disk sizeslemmy.blahaj.zoneimagemessage-square9linkfedilinkarrow-up159arrow-down10file-text
arrow-up159arrow-down1imageFormula that produces floppy disk sizeslemmy.blahaj.zoneCevilia (she/they/…)@lemmy.blahaj.zone to 196@lemmy.blahaj.zoneEnglish · edit-22 months agomessage-square9linkfedilinkfile-text
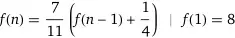
f(1) = 8 f(2) = 5.25 f(3) = 3.5 f(4) ≈ 2.4 f(5) ≈ 1.67 And going the other way f(n-1) = (11/7 f(n) - 1/4) we get laserdiscs? f(1) = 8 f(0) ≈ 12.32
minus-squareCevilia (she/they/…)@lemmy.blahaj.zoneOPlinkfedilinkEnglisharrow-up4·2 months agoThe logic/reason it works out that way is I solved the simultaneous equations a(8+b)=5.25 and a(5.25+b)=3.5.
minus-squarevrek@programming.devBanned from communitylinkfedilinkEnglisharrow-up2·2 months agoAh ok. I was more wondering if it related to the bit density on magnetic tape or speed of the stepper motor available for a reasonable price at the time or something like that.
minus-squarekittenz@lemmy.blahaj.zonelinkfedilinkEnglisharrow-up1arrow-down1·2 months agoWhy those two equations?
minus-squareCevilia (she/they/…)@lemmy.blahaj.zoneOPlinkfedilinkEnglisharrow-up5·2 months agoBecause that’s the sequence I wanted the result to be - 8 ➡️ 5.25 ➡️ 3.5 I knew they wouldn’t multiply or divide exactly so there’d need to be a second term in there. a turned out to be 7/11, and b turned out to be 1/4.
The logic/reason it works out that way is I solved the simultaneous equations a(8+b)=5.25 and a(5.25+b)=3.5.
Ah ok. I was more wondering if it related to the bit density on magnetic tape or speed of the stepper motor available for a reasonable price at the time or something like that.
Why those two equations?
Because that’s the sequence I wanted the result to be - 8 ➡️ 5.25 ➡️ 3.5
I knew they wouldn’t multiply or divide exactly so there’d need to be a second term in there.
a turned out to be 7/11, and b turned out to be 1/4.